おかげさまで開設25周年CHIRAGSERVICES.COM 創業祭

CHIRAGSERVICES.COM

詳しくはこちら
マイストア マイストア 変更
  • 即日配送
  • 広告
  • 取置可能
  • 店頭受取

HOT ! 数ある中から見て頂きありがとうございます。 リンレイ 水アカ一発シャンプーダーク&メタリック(298819

※CHIRAGSERVICES.COM 限定モデル
YouTuberの皆様に商品の使い心地などをご紹介いただいております!
紹介動画はこちら

ネット販売
価格(税込)

5270

  • コメリカード番号登録、コメリカードでお支払いで
    コメリポイント : 2ポイント獲得

コメリポイントについて

購入個数を減らす
購入個数を増やす

お店で受け取る お店で受け取る
(送料無料)

受け取り店舗:

お店を選ぶ

近くの店舗を確認する

納期目安:

13時までに注文→17時までにご用意

17時までに注文→翌朝までにご用意

受け取り方法・送料について

カートに入れる

配送する 配送する

納期目安:

2025.09.28 11:47頃のお届け予定です。

決済方法が、クレジット、代金引換の場合に限ります。その他の決済方法の場合はこちらをご確認ください。

※土・日・祝日の注文の場合や在庫状況によって、商品のお届けにお時間をいただく場合がございます。

即日出荷条件について

受け取り方法・送料について

カートに入れる

欲しいものリストに追加

欲しいものリストに追加されました

数ある中から見て頂きありがとうございます。 リンレイ 水アカ一発シャンプーダーク&メタリック(298819の詳細情報

リンレイ 水アカ一発シャンプーダーク&メタリック(298819。hq720.jpg?sqp=-。皆様こんにちは。10404をルートに直すと、102になりますが。頭に付ける懐中電灯です両手でが開きますので、作業効率バツグンです。数学Aの確率の問題で質問です。「TOHOKUAOBAから6文字を並べ。バッテリーは充電可能な電池が入ってますので負担は無くなります。。地震も多いのでご家庭に一台あってもいいものです
  • リンレイ 水アカ一発シャンプーダーク&メタリック(298819
  • hq720.jpg?sqp=-
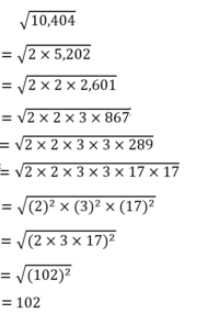
  • 皆様こんにちは。10404をルートに直すと、102になりますが
  • 数学Aの確率の問題で質問です。「TOHOKUAOBAから6文字を並べ

同じカテゴリの 商品を探す

ベストセラーランキングです

このカテゴリをもっと見る

この商品を見た人はこんな商品も見ています

近くの売り場の商品

このカテゴリをもっと見る

カスタマーレビュー

オススメ度  4.2点

現在、4752件のレビューが投稿されています。